ども、居酒屋大好きコンキチです。
コロナ禍となってからはほぼほぼ居酒屋に行ってないので、プレコロナの優しい時代に呑みに行った居酒屋を懐かしんだメモを書きます。
あの吉田類も訪れた池袋の居酒屋のメモです。
-千登利 memo (visited Apr. 2019.)-
住所:豊島区西池袋1-37-15 西形ビル 1F -熱燗 (370 JPYじゃないかと思う)- 
多分、大平山か両関だと思う。 
-RATING- ★★★★★
-REVIEW- 
長年継ぎ足し続けてきたためだろうか、濃い色の煮汁。醤油ベースの複雑な味わいに仕上がっている。煮汁の色とは裏腹に、甘辛味の濃度は良い塩梅。長時間加熱されたことによって生じたんじゃないかと思われる硬い味も少々感じる(悪くない)。
お豆腐は芯まで色が浸透するほどしっかり煮込まれている。なんでも「牛のカイラ肉を醤油味でじっくり煮込んだ汁が木綿豆腐に染み渡っている」んだとか。ホント、煮汁ががっつり染み込んだお豆腐は最高のご馳走です。 
牛肉は複数部位が入っていて、軟らかく煮込まれている。”フワ(肺)”っぽいのも入っていて、 満足の一皿でした。 
-ビール 大 (650 JPY)- 
赤星を指定して注文。何も言わないと黒ラベルになるみたい。 
-RATING- ★★★★★
-REVIEW- 
やきとんは塩かタレを選べる。で、塩をセレクト。
表面はパリッと、中ほどはレア感リッチ、そして芯部はパテのような食感の三重奏が素晴らしい。
軽く振ってある塩・胡椒が良い塩梅。特にに胡椒が絶妙。
-ハツ(やきとん) (160 JPY)- 
-RATING- ★★★★★
-REVIEW- 
塩をセレクト。塩振りもそうだけど、ホント胡椒の加減が絶妙。弾力に富んだフレッシュな食感。ハツ独特の躍動感のある味がとっても美味しい。 
-つくね (160 JPY)- 
-RATING- ★★★★★
-REVIEW- 
こちらも胡椒の加減が素晴らしい。外側はとっても香ばしくって、サクッとした軽やかな食感。内側は、かすかにねっとりした軟らかい感触で、ほんのりと自然な甘味を纏っている。この甘味を塩と胡椒が引き立てている。内側は良く摺るられている。 
女将は西形 元美さん。
カウンターは木曽檜の一枚板で8百万。
天上は杉板。 
壁は煉瓦。
といった、和モダンな店内でした。
閑話休題
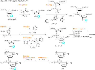
時代はニューモダリティ。潰しの効くテクニシャンになりたいオリゴ核酸合成スーパー初心者級のボクが、オリゴ核酸合成について初歩的なテクをメモしようと思います。それでは、張り切って徒然なるままにメモしていきます↓
まあ、ニューモダリティだとかなんだとか言っても、ホスホロアミダイト法によるオリゴ核酸合成っていのは100%純粋な有機合成化学なわけです。そして、完成度がすこぶる高い(と思う)。
Phosphoroamidite Method
で、完成度が高い合成法においては、
不純物を制するものが、合成を制する
と思うんですよね(なんちゃって)。
しかも、同じサイクルを数多く繰り返していく反応では、僅かな収率低下がボディーブローのようにトータル収率を低減させ、(収率が下がるということは不純物の副生を意味するので)不純物との分離を難しくします(Fmoc-SPPSも同じです)。
ということで、何回かに渡ってホスホロアミダイト法による(フロースルー型カラムリアクターを使用した)禁水系固相フロー合成において副生が予想される不純物をフィーチャーしていこうと思います。
まずはどんな(微量)不純物ができんの?ってことですが、スーパー初心者としては、
Chromatographic approaches for the characterization and quality control of therapeutic oligonucleotide impurities
Biomedical Chromatography. 2018;32:e4088.
っていう総説が良くまとまっているんじゃないかと思います。そして、この文献では次のような(微量)不純物の副生が解説されています。
1.   chloral adducts (trichloroacetaldehyde modified oligonucleotides, トリクロロアルデヒド反応物)
2.   DMTr adducts (4,4'-dimethoxytrytyl-C-phosphonate, C-ホスホネート体)
3.   acrylonitrile adducts (シアノエチル付加体)
4.   isobutyryl adducts
5.   short deletion sequences (shortmer, ヌクレオチド欠損体)
6.   phosphodiester analogs (PS→PO変化体)
7.   3'-terminal phosphorothioate monoesters
8.   phosphorothioate oligonucleotides as impurities in oligonucleotide dithioates
9.   lomgmers (ダブルカップリング)
10.   depurinated oligonucleotides and formation of apurinic site (脱プリン体)
11.   deaminated oligonucleotides (deamination, 脱アミノ化)
けっこうありますね。
あと、最近オリゴ核酸のウェビナーが活況で、そのうちの一つを聴講したときに、
12.   methylamine adducts (メチルアミン付加体)
っていうのがあるのを知りました。
それから、
13.   solid support由来の不純物
もありますね。
オリゴ核酸の化学合成っていうのは大昔からやられていて十分に確立しているので、いまさら丁寧に副反応解説してくれることって殆どないと思うんですよね。
なので、スーパー初心者のボクが自分のためにそういうのをメモっていこうと思います。
初回(今回のお題)は、chloral adducts (trichloroacetaldehyde modified oligonucleotides, トリクロロアルデヒド反応物)です。
この副反応は脱トリチル化のステップでジクロロ酢酸を使ったときに起こる可能性があります。というのも、ジクロロ酢酸中に含まれるトレース量のchloral (クロラール, trichloroacetaldehyde)が関与しているからです。
即ち、脱トリチル化された5'-末端の水酸基がクロラールと反応してヘミアセタールを与え、続くカップリング反応でクロラール付加体が完成します。
Bioorg. Med. Chem. Lett., 2005, 15, 4118-4124.
この副生成物の報告は2005年で、今ではサプライヤーの品質管理も向上していると思うので、実務ではもう気にすることはほぼないかもですが、覚えておきたいですね。
以上、ニューモダリティに置いてけぼりくらってクビになりたくない、二流大出のテクニシャン(研究補助員)のオリゴ核酸スーパー初心者級メモでした。





0 件のコメント:
コメントを投稿