2024-2025の冬は、あのジャパーンが誇る大手外食チェーンの一角を担う、松屋フーズ限定メニューを食してきました。いくら丼とシュクメルリ鍋です。
-RATING- ★☆☆☆☆
-REVIEW-
まず、いくらの色味が良くない。
いくらはふっくら感に乏しく、ちょっと信じ難いほど塩辛い。
凄くしょっぱい。
この度を越したしょっぱさで全部台無し。
いくらの香味は掻き消されているし、スプーン一杯の量のいくらなんて塩辛過ぎてご飯で希釈しても一口でなんて食べられない。
葱も厚過ぎて、食感の硬さがいくらと合ってない。
たっぷり3倍分、損した気持ちになりました。
この商品を開発し人には、反省文を書いてほしいと思いました。
昨年なか卯で食べた天然いくら丼 豪快盛(https://researcher-station.blogspot.com/search?q=%E3%81%AA%E3%81%8B%E5%8D%AF)が忘れられなかったんですが終売だったので、その代替策として松屋に行きました。そこで出されたいくら丼は似て非なるもので、心の底から残念な気持ちでいっぱいになりました。
それでも気を取り直して、評判が良がいいシュクメルリ鍋にトライしてみました。
-RATING- ★★★☆☆
-REVIEW-
猛烈なニンニクの香味がグイグイくる。酸味も強い。
でも、ガッツリ加熱されてるからか、ニンニクの苦味は皆無。
で、マイルド&クリーミーなソースですよ。
具材は、鶏肉、サツマイモ、玉葱。
正直、味わいに重厚さは感じられないし食材も普通だけど不味いわけじゃないし、どストレートにグイグイくる味わいがいいと思いました。
あと、固形燃料で常にグツグツ熱々なのも良かったです。
最後はソースがちょい焦げるんだけど、その香ばしさもいい。
いくら丼のリベンジはできたと思います。
閑話休題
古い論文なんですが、こんな文献を読んでみました↓
Solvent-Dependent Mechanism and Stereochemistry of Mitsunobu Glycosylation with Unprotected Pyranoses
Org. Lett., 2020, 22, 4754-4759.
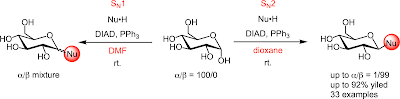
光延反応を使ったグリコシル化反応のお話で、α、βの選択性に係る溶媒効果に関する報告です。
無保護のお砂糖(ピラノース)とカルボン酸との光延グリコシル化反応を、
DMF中で行うとSN1で反応進行するのに対してα/β体の混合物を与えるのに対して、
1,4-ジオキサン中だと反応がSN2で進行し、高いβ選択性でエステルが得られます。
例えば、D-グルコースと安息香酸との光延反応におけるアノマー位の立体化学に及ぼす溶媒効果は次の通りとなります↓
ジオキサンとTHF中ではinversion (THF中では滅茶滅茶反応が遅い)。DMF中では選択性がありません。
また、entry 4と5の結果から、D-グルコースのα-体の方がβ-体よりも反応性が高いことが示唆されます。
そして、著者らが示す推定反応機構はこちら↓
さらに、推定反応機構の蓋然性を検証するめに13C速度論的同位体効果 (KEI)を測定していて、ジオキサン中の反応は1.028、DMF中では1.001という値が得られています。
ボクはよく分かってないんですが、アノマー位の炭素のグリコシル化の13C KIEは凄く研究されていて、KIEが1.01以下ならSN1、1.02-1.06ならSN2であることが示唆されるので(Nat. Chen., 2012, 4, 663.)、著者らはジオキサン中ではSN2、DMF中ではSN1のメカニズムで反応が進行すると結論付けています。
α-D-Glucoseとの反応の基質一般性は28examples, 37-92% yield, α/βは4/96 - 1/99。
α-D-Gluose以外のピラノースも試しています↓
糖の種類によって選択性が変わりますね。
ボクは糖の化学に疎いので、とても勉強になりました。
以上、二流大出のテクニシャン(研究補助員)のお砂糖大好き(になりたい)メモでした。











0 件のコメント:
コメントを投稿