時代は依然ウィズコロナですが、先だってのダンス・タイムの時期(2021年11月-12月)に上州(グンマー)に蕎麦を啜りに行ってきました。
というのも、お蕎麦大好き中年のボクが愛読している蕎麦春秋っていう雑誌の59巻の特集が、
「群馬・赤城山」で育まれた旨いソバ
っていう訳で、純粋に食いしん坊の虫が騒ぎ出したからです。
メモです↓
ENTRY 1 蕎麦処つゆ下梅の花 本店
群馬県高崎市栄町25-13
この店の名物は「早刈り蕎麦」なんだそうです。
通常、蕎麦の栽培は種まきから75日で収穫するんだそうですが、「早刈り」の場合は10日以上早めの収穫するんですってね。
-ビール (550 JPY+tax)-
キリンラガーの中瓶。
-手打そばの一人前セット (1,300 jpy+tax)-
-RATING- ★★★★★
-REVIEW-
星の入った平打ちの蕎麦は、がんづきであったり葛餅にも似た独特の弾力に富んだもっちりとした食感で、キック大。穀物リッチで穏やかなグラッシーな香味で、噛み締めると胡桃様の甘味が染み出してくる。
ツユはかなり鰹節様の香りが立った軽やかな甘いツユで、ボディの強い蕎麦に当たり負けしていない。
蕎麦とツユのシナジーは得に感じないけど、旨いね。
薬味は柚子皮を散らした葱(これは乙な味)、紅葉をちょい散らした大根おろし(これ気に入った)、ワサビ(多分だけど、ホースラディッシュと本山葵のミックス)。
セットの天麩羅は、茄子、人参、南瓜x2、茸、ピーマン。
熱々の状態ではなく、少し熱がとれた状態で提供される。
薄衣で、冷めても衣がカラッとしていて味の劣化が少ないのが良い。
デザートにそば湯でつくった寒天がつくのが嬉しい。
あと、天麩羅には塩も天ツユもついてこないので、欲しい人は注文するときに言っておいた方がいいです。ボクは天麩羅が到着した後に、塩も天ツユも無かったので、塩を持ってきてくれるように頼んだんだけど、「そんなの必要ないでしょっ」ていう顔をされました。
このお店、店内は広くて新型コロナ対策に熱心なのは結構なんですが、次亜塩素酸ナトリウム水溶液を噴霧するのはやめて欲しいです(マジで)。
ENTRY 2 上州うどんそば処 鶴亀庵
群馬県渋川市渋川3670-1
-船尾瀧 特別本醸造 (500 JPY+tax)-
-RATING- ★★★★☆
-REVIEW-
お品書きには「船尾瀧 (純米 180 ml)」って書いてあるけど、間違いです。
仕様は冷酒。いかにも辛口を想起させる香りで、正に辛口のテイスト。
より詳細には、淡麗甘辛い。くどさのない甘みが良いです。
-RATING- ★★★★★
-REVIEW-
厚く張りのある身質で、食感が素晴らしい。
酒粕の香味強め(これとてもいいね)。
烏賊自体のフレッシュ感は普通。
-RATING- ★★★★★
-REVIEW-
ダイナミックな身質が凄い。凄すぎる。バキバキに締まっている。
で、脂も味もくど過ぎず、いい塩梅にあっさりしていてとっても美味しい。
薬味は甘辛の本山葵。
ギンヒカリは利根川の清流で育てられた最高級のニジマスで、通常のものが二年で成熟するのに対して、三年かけて成熟させるという優れものです。通常、成熟期には肉質が低下すると言いますが、ギンヒカリの場合は成熟に伴う肉質の低下がみられないことに加えて、身が引き締まり脂がしっかりのるのだそうです。
-RATING- ★★★★★
-REVIEW-
赤城深山ファームの蕎麦粉を使った数量限定の十割そば。
角がしっかりと立っていて、力強いボディ。キックが強い。
穏やかなグラッシーノートと穀物を想起させる香りがやんわりと漂う。
しつこく咀嚼していると、何とも言えない可愛らしい甘みが顔を出す。
ツユは鰹節様の香りがしっかり立っている(本ガツオ、宗田ガツオ、サバ節の天然だし)。お醤油の味がキリッと効いているんだけど、味わいは軽やか。
ボディのしっかりした蕎麦に対して弱いんじゃないかと思ったんだけど、そんなことは全然ないのが意外。
お蕎麦のボディが強力だからか、山葵との相性は抜群。 ざっくりと切られた柚子皮の薬味とも合ってる。
あと、蕎麦自体にほんの僅かだけどスパイシーさを感じたんだけど、これって気のせい?
蕎麦湯はドロドロ系。
-RATING- ★★★★★
-REVIEW-
お豆腐のフレッシュな香味と甘みがふんだん。
何も付けずにそのまま食べて十分旨い。
合わせて提供されるポン酢醤油が滅茶苦茶良く合う。
海苔や鰹節とも良く合って、シナジー効果による味の膨らみを感じる。
形(形状)を保ちつつ極限までソフトな食感がとてもいい。
これが一番旨かった。
-船尾瀧 (本醸造 一合) (350 JPY+tax)-
-RATING- ★★★☆☆
-REVIEW-
熱燗にしてもらう。
かなり熱い。
甘みのある普通の辛口。
-RATING- ★★★★★
-REVIEW-
一人で呑んだくれてたからか、その様を哀れに思ったお店の方がサービスしてくれたです。
ほっこりしや食感の家庭的な味付け。
味の染み加減と濃さが絶妙。
心に染み入る旨さでした。
群馬県渋川市伊香保町378-1
温泉街のほど近くになある一茶庵系のお蕎麦やさんで、赤城深山ファームの蕎麦粉で打った蕎麦が供されます。
-瓶ビール (大瓶) (790 JPY)-
サッポロ黒ラベル
-RATING- ★★★★★
-REVIEW-
山菜(蕨、細竹、滑子)の漬物と、紫大根の甘酢漬。 絶品。
紫大根は水分を抜くために二、三日置いておくって言ってたと思う。
-RATING- ★★★★☆
-REVIEW-
せいろ、ゆずきり、更科の三色。
せいろはグラッシー(grassy)。
ゆずきりは柚子のチョイ苦な香味が心地よく、薬味の山葵との相性が良い。
極細の更科は軟らかく弾力に富んでいる。
鰹節様の香味がしっかり薫る甘味と辛味のバランスのとれたツユは、ボディに不足無し。
三色のお蕎麦は何れも繊細な喉ごしで普通に美味しいのだけれど、一本一本のお蕎麦がひっつきがちなのが玉に瑕。
天タネは、海老x2、茄子、インゲン的なもの。揚がり具合いと温度は、前述の「つゆ下梅の花」と酷似。
ここでも塩も天ツユも提供されなかったので、お塩も持ってきてくれるようにオーダー。
薬味の山葵は、辛味が鼻に抜け、すこしひなびた系。
ENTRY 4 凡味 そばきり
-RATING- ★★★☆☆
-REVIEW-
燗(熱燗)をつけてもらう。
やんわり乳を想起させる香り。
軟らかい穏やかな甘み。
フィニッシュは僅かに果実の酸味。
普通に美味しい辛口熱燗
-お通し (90 JPY ?)-
塩昆布ね。美味しいのね。
-RATING- ★★★★★
-REVIEW-
お出汁の香りふんだん。(焦げ目は無いけど)ロースト(roast)、芳醇な旨味リッチなお出汁、玉子のピュア(pure)な香味のトリプルシナジーが旨い(劇旨)。
アツアツで提供され、時間が経過しても熱の保持がいい。
大根おろし(辛くない)がたっぷりついているのが嬉しい。
兎に角、旨すぎる。
-RATING- ★★★★★
-REVIEW-
お蕎麦は、穀物様の香味リッチでグラッシー(grassy)さもしっかり。胡桃様の香りも感じる。しっかり角が立っていて、咀嚼を繰り返すことで甘味が染み出してくる。細身でキックが強く、若い頃に一番好きだったタイプ。咀嚼感と喉越しが最高(究極)。
ツユは鰹節様の練れた独特の香り。甘味に加えてしっかりとした辛味(甘味より少し強め)のボディー(body)の強いツユに仕上がっている。ほんとハイレベルな辛汁。
蕎麦とツユの相性は勿論良くって、はっきり言って相当旨いね。
薬味は山葵、(多分)辛味大根、葱。山葵がとても良く合う。
群馬一との呼び声に偽りのない旨さでした。
ただ、ぜいろに僅かに黒い部分があって、ほんのちょっと漂白剤臭かったのがちょっぴり残念でした。
素朴な疑問なんだけど、グンマー群馬のお蕎麦屋さんでは、天麩羅はどうやってたべるのがデフォなの?
今回は赤城深山ファームの蕎麦粉で打った蕎麦を所望して渋川(伊香保)を目指し、高崎にも寄り道しつつ蕎麦をエンジョイしてきました。最奥地が伊香保なので(石段も久しぶりに行った)、当然、黄金の湯(源泉加温掛け流し)も堪能してきたわけですが、とってもいい湯加減でした。五回入ったからね(total 4時間くらい入った)。
やっぱ、我が日本国はお蕎麦と温泉に限りますね(個人の感想です)。
閑話休題
さて、2021年の年収(給与収入)はこんな感じになりました↓
今年は時間外労働(相当)を7時間もしてしまい、働き過ぎて負けた気持ちでいっぱいです。
とはいえ、コロナ禍でも給料が年功序列的に上がるディフェンシブ企業は安心感があります。
そんな気楽な稼業のサラリーマンではありますが、兵隊さん実験が仕事なので、リモートワークイケイケの時代にあっても社畜然として毎日シコシコ通勤しなければなりません。
まぁでも、人力以外に代替できない仕事だと思えば、そう悪い気もしません(テレワークしてサボりたいけど)。だって、食いっぱぐれないじゃないですか。
有機合成の自動化はモジュール単位で限られた分野でしか成功してないし、全般的にはまだまだショボいので、少なくとも数十年は安泰なんじゃないですかね?
ところで、古いんですが一昨年(2020年)の週刊東洋経済に
製薬大リストラ
という特集がありました。
メインはMRのリストラに関する話ですが、
リストラに聖域なし 研究職も例外じゃない!
らしいです。
成功確率ダダ下がりでやり尽くされた感の漂う低分子創薬の凋落を尻目に、製薬合成社員がオリゴ核酸やペプチド合成のベンチャーに転職して行くのだそうです。
要は、コンベンショナルな有機合成化学のテクノロジーに頼る低分子創薬のニーズであったりプレゼンスが低下していることを意味しているのでしょう。
製薬会社で定年間近の人は、落ち目な低分子創薬と会社にしがみついて逃げ切ればいいかもですが、若い人はそんなことではジリ貧です。社長の任期が二年二期というのが我が国ではデファクト・スタンダードなので(島耕作に書いてあった)、サラリーマン社長が仕切る会社はどこも横並び志向になりがちというのが定説ではないでしょうか(知らんけど。でも、武田の社長の在位期間は長いね)。したがって、どこの製薬会社もその重心を流行りの核酸医薬、中分子医薬、ペプチド医薬に向けて舵を切っていくことでしょう(完璧憶測です)。だって、オリジナリティ出して失敗すると評価下がるけど、皆んなで失敗すればしょうがないじゃないですか。
ともあれ、こんな感じで製薬業界の有機合成化学マンの身の振り方は所謂ニューモダリティ、即ちオリゴ核酸、中分子、ペプチド、糖鎖、あるいはそれらのコンジュゲートであったり、それらの修飾技術へとシフトしていくことが予想されるので、それに対応した有機合成スキルを獲得することが重要と考えられます。より具体的には、ホスホロアミダイト法やFmoc SPPS (Solid-Phase Peptide Synthesis)の自動合成スキル、末端や側鎖とか核酸塩基の修飾法、化学ライゲーションです(多分ね)。精製だって順相のクロマトしかできないなんて論外です。逆相精製は出来て当然で、イオン交換クロマトやアフィニティークロマト、SFCなども使いこさせなければいけないんだと思います。
ところで、冒頭で低分子創薬を軽くディスってしまいましたが、最近上市(緊急使用許可)されたメルクのモルヌピラビルのプロセス・インプルーブメントには心の底から感動しました。
Original route
10 steps, <10% isolated yield
Three-step route
3 steps, 69% overall yield
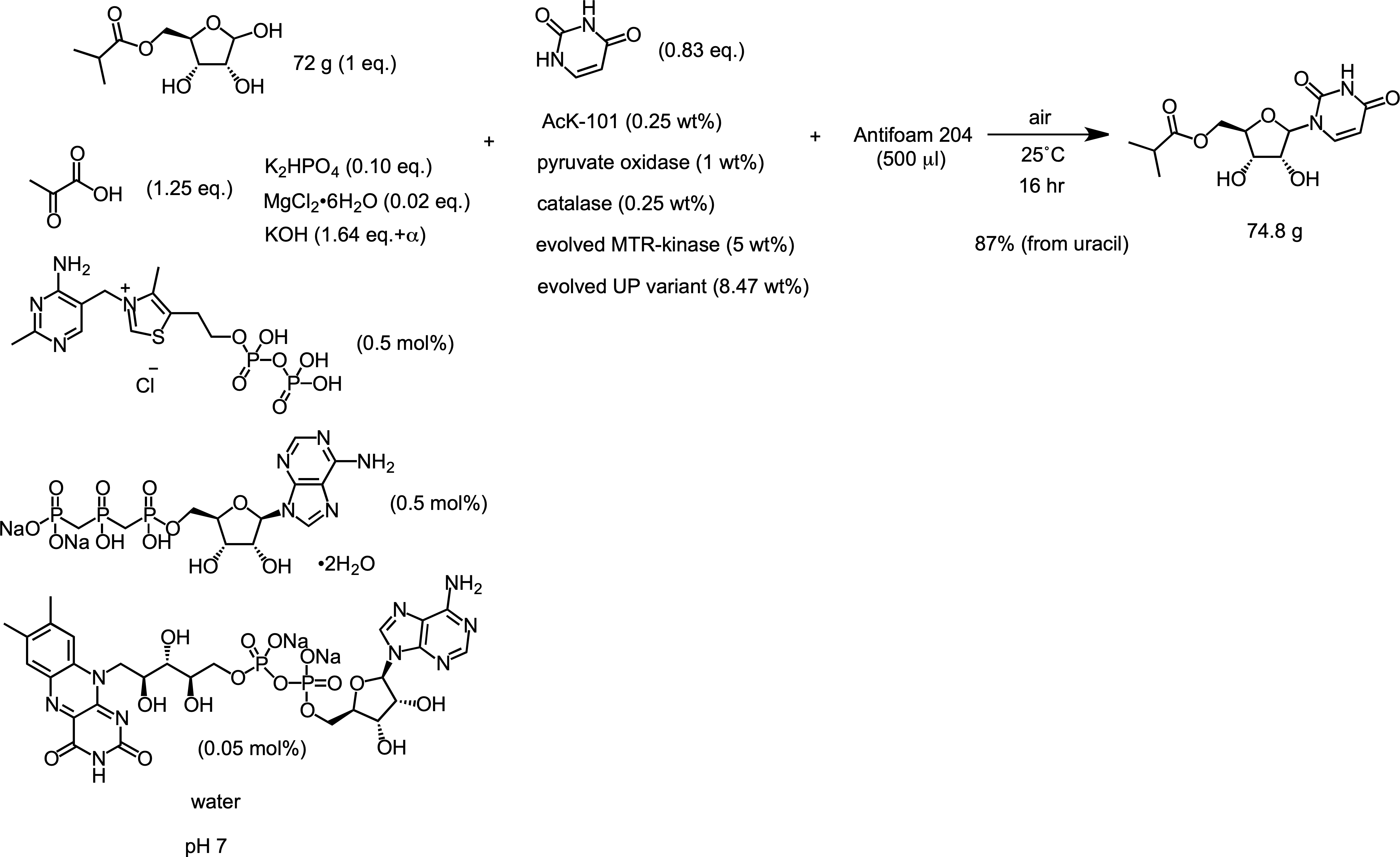
一段階目なんですが、
出発物質のリボースは、種々の溶媒中でフラノース型として存在しているため、1級アルコールはヘミアセタールになっています。そのため、コンベンショナルな有機合成化学のテクノロジーを用いたエステル化は難しいです。
加えて、不活性な溶媒への溶解性が低く、エステル化されると溶解性が増すので、他の水酸基に対するオーバーリアクションが懸念されます。
さらに、生成物(エステル)は水溶性が高く結晶化しないので、生成も難しいです。
これらの困難を克服するのに着目したのが、リパーゼを使った選択的エステル化です。
採用されたのはNovozym 435という樹脂に固定化したCalBリパーゼでトン単位で入手可能なようです。
反応終了後、固定化酵素をろ去し、溶媒をMTBEに置換した後、水で抽出することで目的物を水溶液としてゲットして、そのまま次の反応に使用します。
MTBE抽出で不純物を取り除いてるところが心憎いです。
次いで二段階目。
合成スキーム的には、水酸基が直接ウラシルで置換されているように見えますが、実際は対応するphosphateを経由した複数酵素のコンボによるカスケード反応になります。
あと、抽出溶媒に2-MeTHFを使用してるんですが、greener solventのトレンドを押さえていますね。
ファイナルステップの三段階目は、コンベンショナルなプロセス化学の粋をこらした出来栄えとボクは思います。
TMS化による活性化を経てオキシムへと誘導するわけですが、シリル化剤兼溶媒としてより毒性の低いHMDSを使用しており、触媒量のイミダゾールが劇的にシリル化を促進します。
さらに、はじめに生成するビス-トリメチルシリル誘導体からモルヌピラビルへと誘導し取り出す手法も洗練されています。
有機合成やってる(ボクも含めた)古い人にとって、「酵素(反応)は敵」っていう認識だと思うんですよね。
酵素反応に負けない反応を見出すんだという強い矜持の裏返しなんだろうと察しますが、もうそれだけじゃあダメなんだと思います。
酵素を自在に使い熟すのは一朝一夕にはいきませんが、有機合成化学の中に酵素反応(生体触媒反応)をガシガシ組み入れていかなければならないフェーズなんだろうと思います。
というわけで、有機合成化学マン&ウーマンにとって、2022年は忙しい年になるでしょう。だって、上述したように勉強すべきことが山積みですから。
以上、蕎麦行脚を自粛してサイエンスのお勉強にもうちょっと精を出そうかなと思う、二流大出のテクニシャン(研究補助員)の中流アニュアル・インカムメモでした。
(やっぱ、重要なのは脳ミソですね。実験ばかりしてるとバカになります。)









