ちなみにこのジンはボンベイ サファイアというプレミアム•ジンなんだけど、ジュニパーベリー以外にも9つ(合計10種類)のボタニカルを使って造られていて、とってもいい匂いがするコンキチのお気に入りのジンです。
see http://realsakeguide.blogspot.com/2007/08/bombay-sapphire.html
閑話休題
今回は、こんな文献を読んでみました↓
Screening and Identification of Precursor Compounds of Dimethyl Trisulfide (DMTS) in Japanese Sake
J. Agric. Food Chem., 2009, 57, 189-195.
酒類総合研究所と広島大学の共同研究ですね。
お酒(ここでは日本酒)は古くなると老香(hineka)という一般的には好ましくない匂いを発します。コンキチなぞは、老香(好ましいものとそうでないものがあるが)はけっこう好きな方で、古酒と呼ばれる好ましい老香を発する長期熟成酒を愛飲しています(ちなみの1年以上の熟成で古酒になります)。
老香の成分の種々の揮発性化合物から構成されているんだけれど(J. Soc. Brew. Japan, 1980, 75, 463-468)、その構成成分のメイン成分の一つにdimethyl trisulfide (DMTS)があるそうです(J. Agric. Food Chem., 2005, 53, 4118-4123.; J. Soc. Brew. Japan, 2006, 101, 125-131.)。
で、DMTSの匂いの特徴→sulfury, onion-like
これまでに報告されているDMTSの前駆体(お酒以外で見いだされたもの)↓
entry 1: S-methylcysteine sulfoxide
ref. J. Agric. Food Chem., 1992, 40, 2098-2101.; J. Agric. Food Chem., 1998, 46, 4334-4340.; J. Agric. Food . Chem., 1994, 42, 1529-1536.; J. Inst. Brew. Chem., 1978, 84, 337-340.
entry 2: sulforaphane (4-methylsulfinylbutyl isothiocyanate)
ref. J. Agric. Food Chem., 2006, 54, 2479-2483.; J. Soc. Brew. Jpn, 2007, 102, 432-440.; J. Agric. Food Chem., 1999, 47, 3121-3123.
enrty 3: methanethiol (methionine, methional)
ref. Int. Dairy. j., 2002, 12, 959-984.; J. Am. Soc. Brew. Chem., 1998, 56, 99-103.:J. Agric. Food Chem., 2000, 48, 6196-6199.
entry 4: S-methylcycteine sulfoxide
ref. J. Inst. Brew. 1978, 84, 337-340.
ところで、お酒中のDMTSの生成機構は全く研究されていないそうで、著者らはその解明を試みて、前駆体を1個同定したというのがイントロ(DMDSに関する研究はJ. Soc. Brew. Jpn. 1975, 70, 588-591.)。
で、結果↓
まずはじめに、著者等はメチオニンのDMTS生成の寄与について調べています。メチオニンからのDMTSの生成経路としては、こんな経路が考えられます↓
で、 お酒中に含まれるメチオニンと同量のD標識したメチオニン([methyl-d3]-methionine)をお酒に加えてエイジングして、生成するDMTS, [methyl-d3]-DMTS, [methyl-d6]-DMTSの比率を調べました。もし、DMTSが100%上記schemeで示される経路で生成するとすると、
になるはすです。
しかしながら、実際の結果は、
でした。この結果から、上記schemeによるメチオニンのDMTS生成の寄与は軽微であることが示唆されました。
ということで、著者らが次にしたことは、DMTS前駆体の単離•同定です。DMTS前駆体は2つあることが分かったんですが、今回の報告ではより高極性の方のみに報告です(もう一方はin progressね)。
で、MSとNMRの解析結果から、問題の前駆体は
であることが分かりました(新規化合物らしいです)。
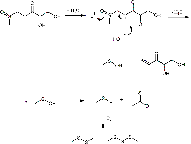
そして、著者らが提案したDMTS生成機構はこちら↓
さらに1,2-dihydroxy-5-(methylsulfinyl)pentan-3-oneがどのように生成するかについても考えていて、著者らはメチオニンサルベージ経路が関与していていて1,2-dihydroxy-5-(methylthio)-1-penten-3-oneから1,2-dihydroxy-5-(methylsulfinyl)pentan-3-oneが誘導されるのではないかと推測しています。
以上が本報のザックリしたところで。
まあ、老香って当然sulfury, onion-likeっていう単純な匂いではないし、種々の化合物のシナジ-やエンハンス効果、マスキングとかの影響であったり、閾値の極めて小さい物質が色々あったりだとかするんだろうと思います。この論文では、メイン成分であるDMTSの生成機構が少し明らかにされただけですが、これまで老香の研究って殆どされてきてないようなので、この研究の価値は高いと思います。一酒愛好家として今後のさらなる研究に期待したい二流大出のなんちゃって研究員なのです。
Tweet



0 件のコメント:
コメントを投稿