けっこう前に行った北千住にある居酒屋のメモです。
-酒屋の酒場 memo (visited Apr. 2019)-
住所:足立区千住中居町27-17
-サッポロラガー(大瓶) (560 JPY)-
赤星。
-RATING- ★★★☆☆
-REVIEW-
あっさりした綺麗な味。甘味少なく、酸味少々。
味の深みと濃さに物足りなさ感じる。
少しだけ水っぽいかな。
身質は軟らかく、程よい弾力。口の中でほぐれる感覚が良い。
-RATING- ★★★★☆
-REVIEW-
コリコリ感あまり感じないが、軟らかめの好きな食感。
ぬめりが心地良く、身から滲み出る磯の香味が力強い。
この香味が日本酒とのマリアージュで香味バースト。
ボリューム"大"で、とっても美味しいよ。
-RATING- ★★★☆☆
-REVIEW-
絹ごし豆腐の上に肉みそと葱を載せた一品。
肉みそは甘くピリ辛。
肉はかなり細かく刻まれていて、完全に調味料と化している。
お豆腐にちょっとお醤油を付けて肉味噌と一緒に口に運ぶのが良い。
肉みそだけだと物足りなくてちょっとチグハグな味だけど、お醤油をプラスすることで味に重層感が出てまとまった(調和した)味になる。
-菊源氏(福久娘)徳利・小 (260 JPY)-
-RATING- ★★☆☆☆
-REVIEW-
甘めのお酒。
冷やでいただいたけど、燗もつけてもらえるっぽい。
-RATING- ★★★☆☆
-REVIEW-
チーズっぽさ感じる。そして、しっかりした糠の香味。
外周はフレーバーふんだん。内部の漬かり具合は浅めで瑞々しい。
コリコリした人参のケミカル感が絶妙。
イカのワタ焼きとゲソ焼きのコンボを目当てに行ったのですが、この時はなかったです。
閑話休題
ども、オリゴ核酸スーパー初心者級のコンキチです。
ボクの調べ方と勉強量が足りないからだと思いますが、初心者向けの超絶基本的なことが書いてある教科書とかがなかなか見つからないんですよね。なので困っていたんですが、GLEN RESEARCHという核酸試薬メーカーのテクニカルノート(https://www.glenresearch.com/resources/glenreport)がとても参考(かつ勉強)になることに気付きました。かなりのヴォリュームなんですが、その中から個人的に気になった部分をピックアップしてメモしたいと思います。
ということで、早速ホスホロアミダイト法によるオリゴ核酸の化学合成において使用される固相担体についてちょっぴりメモってみました。
最も古典的かつスタンダードな固相担体は、一番最初のヌクレオシドがスクシネートでサポートに連結した合成担体(synthesis support)だと思います。
それから、合成担体には合成したオリゴをよりマイルドな条件で樹脂から切り出することができるQ-supportというものがあります。
Q-supports
Tetrahedron Lett., 1997, 38, 3327-3330.
Q-supportではnormal supportのスクシネートリンケージがヒドロキノン-O,O'-二酢酸に変わっていて、脱樹脂がより迅速に進行するといいます(RNA合成向きのよう)。
上述したような合成担体は、望みのヌクレオシドがプレロードされたものを在庫しておかなければなりませんが、どのヌクレオシドからでも合成を開始できるユニバーサルサポート(universal support)と呼ばれる担体もあります。
どうしてユニバーサルサポートっていうのかは知らないですが、出発ヌクレオシドに依存しない普遍的(ユニバーサル)な固相担体(サポート)だからなんじゃないかと想像しています(誰か教えてください)。
universal supports
Tetrahedron, 2001, 57, 4977-4986.; US Patent 7,202,264; Nucleos. Nucleot. Nucleic Acids, 2011, 30, 475-489.
ユニバーサルサポート(universal support)は以下に示すメリットから、合成担体からの置き換えが進んでいるらしいです。
a) 合成サポートのようにヌクレオシド毎に在庫を揃えておく必要がない。
b) サポートを間違う可能性がない(一択なので)。
c) 多検体合成するときのサポートをセットするときのミスがない(一択なので)。
d) 合成サポートで利用できないヌクレオシドにも対応可能
特に初期段階の少量合成で便利そうですね。
1997年、一番最初のUniversal Supportが導入された訳ですが、脱樹脂過程においてけっこうキツイ塩基性条件が必要らしく、脱リン酸化に長時間を要するという欠点がありました。
その後、脱リン酸化における環状遷移状態の形成を容易にすることを期待して剛直なビシクロ環を導入しビシナルなsyn oxygenを配置したUnyLinkerやGlen UnySupportが開発され(US Patent 7,202,264)、Universal Supportの欠点が改善されています。
Universal Support IIIはUniversal Support IIの改良版で、リンカーがスクシノイルジアミドからウレアに変わっています。リンカーがウレアになることによって、ウレアのアミドが補助する脱リン酸化によってオリゴが放出されます。
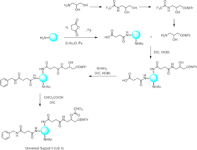
Universal Support IIは6段階で合成され、そのうち最後の3段階は固相合成になります。
それに対して、Universal Support IIIはトータル5段階で、うち固相合成は樹脂へのローディングとその後のキャッピングだけです。
Synthesis of Universal Support II.
Synthesis of Universal Support III.
固相反応は反応チェックが困難なので、ステップ数が減ったことに加えて品質管理上もUniversal Support IIIが有利となります。
あと、Universal Support IIとUniversal Support IIIは、他のユニバーサルサポートとは異なって、(シアノエチル付加体副生対策のために行う)シアノエチル基を落とすために行うジエチルアミンやDBUでの前処理は禁忌です。さもないと、担体から外れなくなっちゃうので気を付けましょう。
Glen UnySupport FCは、Glen UnySupportのスクシネートリンカーがジグリコレートリンカーになったもので、樹脂からの切り出しが早い(Fast Cleavage)のが特徴です。
以上、オリゴ核酸スーパー初心者のテクニシャン(研究補助員)の、「低分子しか合成できないからクビな」と宣告されたくない、固相担体徒然メモでした。





































